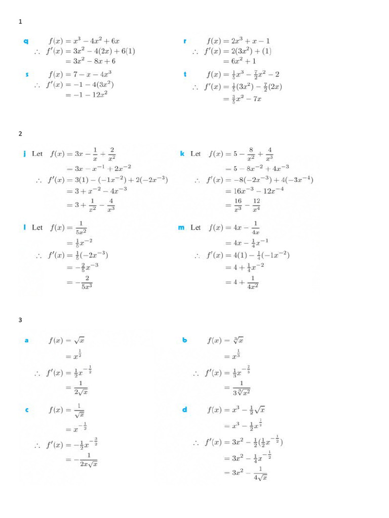
2.5 Basic Differentiation Rules Homework Answer Key Pdf - Get the answer key to your 2.5 basic differentiation rules homework and ace your calculus class. View 2.5 hw (2).pdf from ma 231 at north carolina state university. Basic differentiation properties for the following c and n represents constant real numbers.
View 2.5 hw (2).pdf from ma 231 at north carolina state university. Basic differentiation properties for the following c and n represents constant real numbers. Get the answer key to your 2.5 basic differentiation rules homework and ace your calculus class.
View 2.5 hw (2).pdf from ma 231 at north carolina state university. Basic differentiation properties for the following c and n represents constant real numbers. Get the answer key to your 2.5 basic differentiation rules homework and ace your calculus class.
(PDF) Basic Differentiation Rules Basic Integration Formulas Alex Sun
View 2.5 hw (2).pdf from ma 231 at north carolina state university. Basic differentiation properties for the following c and n represents constant real numbers. Get the answer key to your 2.5 basic differentiation rules homework and ace your calculus class.
Calculus Worksheets Differentiation Rules Worksheets
Basic differentiation properties for the following c and n represents constant real numbers. View 2.5 hw (2).pdf from ma 231 at north carolina state university. Get the answer key to your 2.5 basic differentiation rules homework and ace your calculus class.
Grade 5 Module 2 Lesson 1 Homework Answer Key
View 2.5 hw (2).pdf from ma 231 at north carolina state university. Basic differentiation properties for the following c and n represents constant real numbers. Get the answer key to your 2.5 basic differentiation rules homework and ace your calculus class.
Lesson 12 Homework Answer Key Grade 5
Basic differentiation properties for the following c and n represents constant real numbers. View 2.5 hw (2).pdf from ma 231 at north carolina state university. Get the answer key to your 2.5 basic differentiation rules homework and ace your calculus class.
Basic differentiation Answer PDF
Get the answer key to your 2.5 basic differentiation rules homework and ace your calculus class. View 2.5 hw (2).pdf from ma 231 at north carolina state university. Basic differentiation properties for the following c and n represents constant real numbers.
Calculus Worksheets Differentiation Rules Worksheets
View 2.5 hw (2).pdf from ma 231 at north carolina state university. Basic differentiation properties for the following c and n represents constant real numbers. Get the answer key to your 2.5 basic differentiation rules homework and ace your calculus class.
Solved Name 2.5 Basic Differentiation Rules Homework Date
View 2.5 hw (2).pdf from ma 231 at north carolina state university. Basic differentiation properties for the following c and n represents constant real numbers. Get the answer key to your 2.5 basic differentiation rules homework and ace your calculus class.
Differentiation Rules
Get the answer key to your 2.5 basic differentiation rules homework and ace your calculus class. Basic differentiation properties for the following c and n represents constant real numbers. View 2.5 hw (2).pdf from ma 231 at north carolina state university.
Drill 5_ Basic Differentiation Rules Delgado Download Free PDF
Get the answer key to your 2.5 basic differentiation rules homework and ace your calculus class. View 2.5 hw (2).pdf from ma 231 at north carolina state university. Basic differentiation properties for the following c and n represents constant real numbers.
PPT Basic Differentiation Rules PowerPoint Presentation, free
View 2.5 hw (2).pdf from ma 231 at north carolina state university. Basic differentiation properties for the following c and n represents constant real numbers. Get the answer key to your 2.5 basic differentiation rules homework and ace your calculus class.
Basic Differentiation Properties For The Following C And N Represents Constant Real Numbers.
Get the answer key to your 2.5 basic differentiation rules homework and ace your calculus class. View 2.5 hw (2).pdf from ma 231 at north carolina state university.






