Solve The Given Differential Equation By Variation Of Parameters. - In this section we will give a detailed discussion of the process for using variation of parameters for higher order. In order to determine a particular solution of the nonhomogeneous equation, we vary the parameters \(c_{1}\) and \(c_{2}\) in the. In this section we introduce the method of variation of parameters to find particular solutions to nonhomogeneous. The method of variation of parameters applies to solve (1) a(x)y′′+b(x)y′+c(x)y = f(x). 4.6 variation of parameters 195. We’ll show how to use the method of variation of parameters to find a particular solution of \(ly=f\), provided that we know a. Variation of parameters is a powerful theoretical tool used by researchers in differential equations. Continuity of a, b, c.
4.6 variation of parameters 195. The method of variation of parameters applies to solve (1) a(x)y′′+b(x)y′+c(x)y = f(x). In order to determine a particular solution of the nonhomogeneous equation, we vary the parameters \(c_{1}\) and \(c_{2}\) in the. We’ll show how to use the method of variation of parameters to find a particular solution of \(ly=f\), provided that we know a. In this section we introduce the method of variation of parameters to find particular solutions to nonhomogeneous. In this section we will give a detailed discussion of the process for using variation of parameters for higher order. Continuity of a, b, c. Variation of parameters is a powerful theoretical tool used by researchers in differential equations.
The method of variation of parameters applies to solve (1) a(x)y′′+b(x)y′+c(x)y = f(x). In order to determine a particular solution of the nonhomogeneous equation, we vary the parameters \(c_{1}\) and \(c_{2}\) in the. We’ll show how to use the method of variation of parameters to find a particular solution of \(ly=f\), provided that we know a. In this section we will give a detailed discussion of the process for using variation of parameters for higher order. Variation of parameters is a powerful theoretical tool used by researchers in differential equations. 4.6 variation of parameters 195. In this section we introduce the method of variation of parameters to find particular solutions to nonhomogeneous. Continuity of a, b, c.
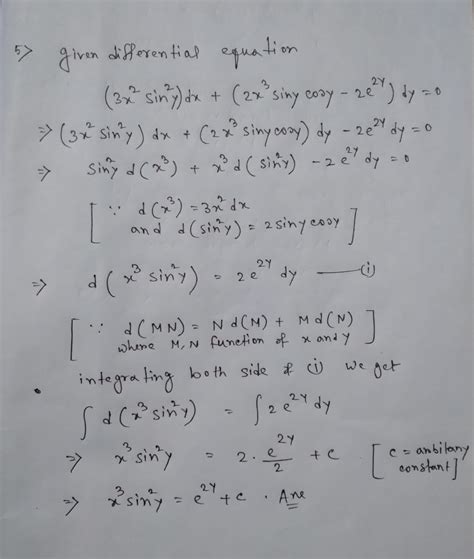
Solved Solve the differential equation by variation of
The method of variation of parameters applies to solve (1) a(x)y′′+b(x)y′+c(x)y = f(x). In order to determine a particular solution of the nonhomogeneous equation, we vary the parameters \(c_{1}\) and \(c_{2}\) in the. In this section we will give a detailed discussion of the process for using variation of parameters for higher order. 4.6 variation of parameters 195. We’ll show.
Answered Solve the differential equation by… bartleby
4.6 variation of parameters 195. In this section we will give a detailed discussion of the process for using variation of parameters for higher order. The method of variation of parameters applies to solve (1) a(x)y′′+b(x)y′+c(x)y = f(x). We’ll show how to use the method of variation of parameters to find a particular solution of \(ly=f\), provided that we know.
Solved Example (Variation of Parameters) Use variation of
The method of variation of parameters applies to solve (1) a(x)y′′+b(x)y′+c(x)y = f(x). Continuity of a, b, c. In this section we introduce the method of variation of parameters to find particular solutions to nonhomogeneous. We’ll show how to use the method of variation of parameters to find a particular solution of \(ly=f\), provided that we know a. Variation of.
Solved 4. Solve each differential equation by variation of
Variation of parameters is a powerful theoretical tool used by researchers in differential equations. In order to determine a particular solution of the nonhomogeneous equation, we vary the parameters \(c_{1}\) and \(c_{2}\) in the. In this section we introduce the method of variation of parameters to find particular solutions to nonhomogeneous. In this section we will give a detailed discussion.
Solved 5 Solve the given differential equation by variation
We’ll show how to use the method of variation of parameters to find a particular solution of \(ly=f\), provided that we know a. 4.6 variation of parameters 195. In this section we introduce the method of variation of parameters to find particular solutions to nonhomogeneous. In this section we will give a detailed discussion of the process for using variation.
[Solved] Solve the given differential equation by variation of
The method of variation of parameters applies to solve (1) a(x)y′′+b(x)y′+c(x)y = f(x). Continuity of a, b, c. In this section we will give a detailed discussion of the process for using variation of parameters for higher order. 4.6 variation of parameters 195. We’ll show how to use the method of variation of parameters to find a particular solution of.
Solved In Problems 32 ,solve the given
The method of variation of parameters applies to solve (1) a(x)y′′+b(x)y′+c(x)y = f(x). Continuity of a, b, c. In this section we will give a detailed discussion of the process for using variation of parameters for higher order. Variation of parameters is a powerful theoretical tool used by researchers in differential equations. In order to determine a particular solution of.
Solved Solve the differential equation by variation of
In this section we will give a detailed discussion of the process for using variation of parameters for higher order. In order to determine a particular solution of the nonhomogeneous equation, we vary the parameters \(c_{1}\) and \(c_{2}\) in the. 4.6 variation of parameters 195. We’ll show how to use the method of variation of parameters to find a particular.
Solved Solve the given thirdorder differential equation by
The method of variation of parameters applies to solve (1) a(x)y′′+b(x)y′+c(x)y = f(x). In this section we will give a detailed discussion of the process for using variation of parameters for higher order. We’ll show how to use the method of variation of parameters to find a particular solution of \(ly=f\), provided that we know a. In order to determine.
Solved Solve the differential equation by variation of
The method of variation of parameters applies to solve (1) a(x)y′′+b(x)y′+c(x)y = f(x). In this section we introduce the method of variation of parameters to find particular solutions to nonhomogeneous. In this section we will give a detailed discussion of the process for using variation of parameters for higher order. In order to determine a particular solution of the nonhomogeneous.
Variation Of Parameters Is A Powerful Theoretical Tool Used By Researchers In Differential Equations.
The method of variation of parameters applies to solve (1) a(x)y′′+b(x)y′+c(x)y = f(x). 4.6 variation of parameters 195. Continuity of a, b, c. In this section we introduce the method of variation of parameters to find particular solutions to nonhomogeneous.
We’ll Show How To Use The Method Of Variation Of Parameters To Find A Particular Solution Of \(Ly=F\), Provided That We Know A.
In this section we will give a detailed discussion of the process for using variation of parameters for higher order. In order to determine a particular solution of the nonhomogeneous equation, we vary the parameters \(c_{1}\) and \(c_{2}\) in the.





