Ap Calculus Differentiation - The figure above shows the. Why we study differential calculus. Find the derivative and give the domain of the derivative for each of the following functions. Calculating derivatives using the definition;. The derivative is a new. Learn about the rules for finding derivatives for your ap calculus math exam. Find the derivative of the function using the limit process. Includes full solutions and score. Consider the curve defined xy.
The figure above shows the. The derivative is a new. Consider the curve defined xy. Learn about the rules for finding derivatives for your ap calculus math exam. Calculating derivatives using the definition;. Why we study differential calculus. Find the derivative and give the domain of the derivative for each of the following functions. Includes full solutions and score. Find the derivative of the function using the limit process.
Includes full solutions and score. Find the derivative and give the domain of the derivative for each of the following functions. The figure above shows the. Learn about the rules for finding derivatives for your ap calculus math exam. Calculating derivatives using the definition;. The derivative is a new. Why we study differential calculus. Find the derivative of the function using the limit process. Consider the curve defined xy.
AP Calculus AB Unit 2 Differentiation Definition and Fundamental
The derivative is a new. Find the derivative of the function using the limit process. Why we study differential calculus. The figure above shows the. Calculating derivatives using the definition;.
AP Calculus Lesson 14Differentiability YouTube
Find the derivative of the function using the limit process. The figure above shows the. Learn about the rules for finding derivatives for your ap calculus math exam. Includes full solutions and score. Calculating derivatives using the definition;.
Ap Calculus Ab Derivatives Practice
Calculating derivatives using the definition;. Includes full solutions and score. Learn about the rules for finding derivatives for your ap calculus math exam. The derivative is a new. Why we study differential calculus.
AP Calculus AB Unit 2 Differentiation Definition and Fundamental
Includes full solutions and score. Calculating derivatives using the definition;. Learn about the rules for finding derivatives for your ap calculus math exam. Consider the curve defined xy. Find the derivative of the function using the limit process.
AP Calculus AB Unit 2 Differentiation Definition and Fundamental
Consider the curve defined xy. Why we study differential calculus. Includes full solutions and score. Find the derivative and give the domain of the derivative for each of the following functions. Calculating derivatives using the definition;.
AP Calculus AB Unit 2 Differentiation Definition and Fundamental
Find the derivative of the function using the limit process. Calculating derivatives using the definition;. Find the derivative and give the domain of the derivative for each of the following functions. Why we study differential calculus. The figure above shows the.
Download 320 AP Calculus AB Problems arranged by Topic and Difficulty
Find the derivative and give the domain of the derivative for each of the following functions. Why we study differential calculus. The derivative is a new. Consider the curve defined xy. Learn about the rules for finding derivatives for your ap calculus math exam.
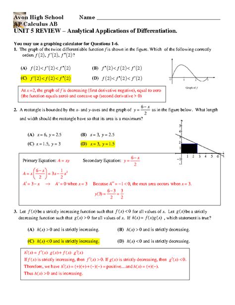
AP Calculus AB Unit 5 Analytical Applications of Differentiation Unit
Consider the curve defined xy. Find the derivative of the function using the limit process. Learn about the rules for finding derivatives for your ap calculus math exam. Why we study differential calculus. Includes full solutions and score.
[AP Calculus Differentiation] Can anyone help me with these two
Includes full solutions and score. Find the derivative of the function using the limit process. Why we study differential calculus. Consider the curve defined xy. The derivative is a new.
The Derivative Is A New.
The figure above shows the. Consider the curve defined xy. Calculating derivatives using the definition;. Find the derivative and give the domain of the derivative for each of the following functions.
Learn About The Rules For Finding Derivatives For Your Ap Calculus Math Exam.
Includes full solutions and score. Why we study differential calculus. Find the derivative of the function using the limit process.








![[AP Calculus Differentiation] Can anyone help me with these two](https://i.redd.it/5unc3yk2nux71.jpg)
