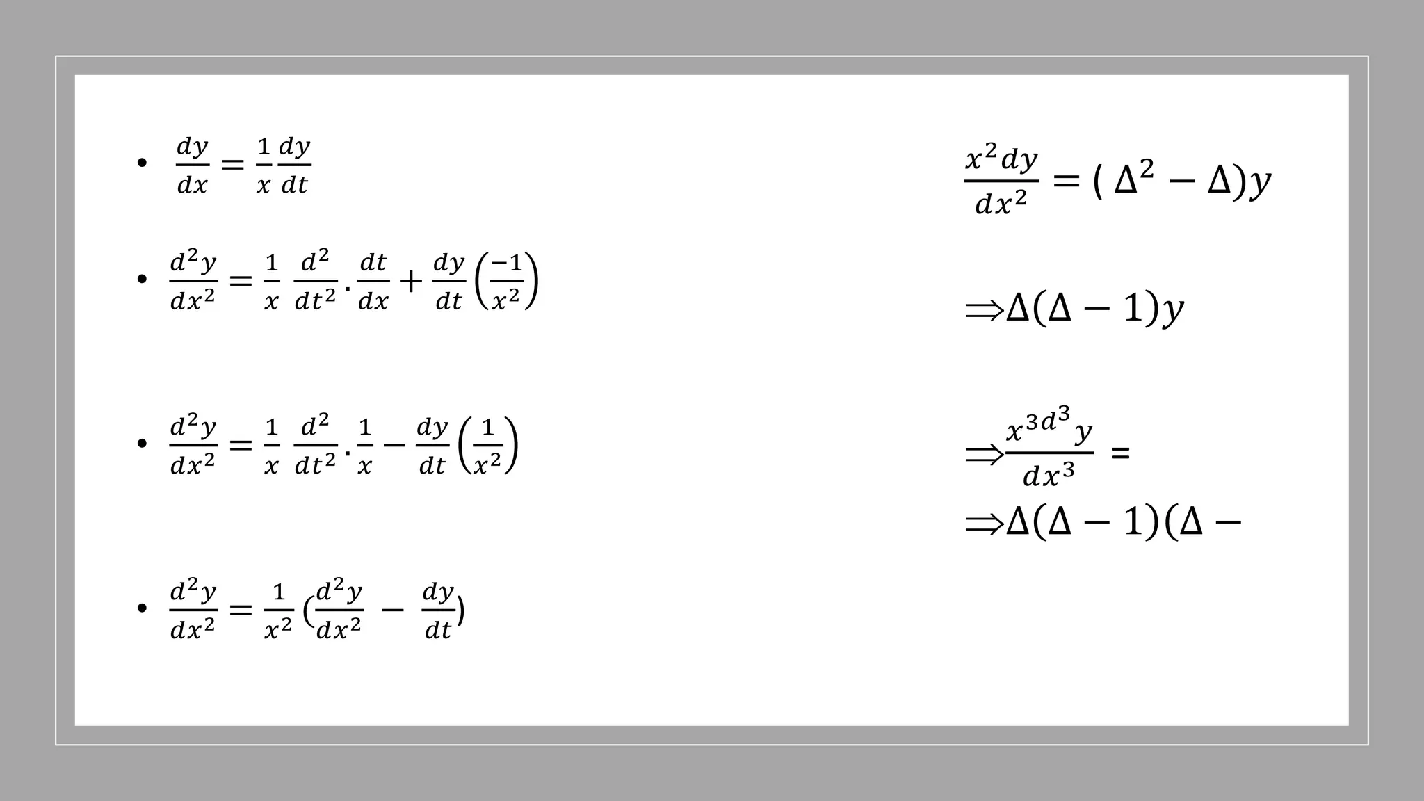
Cauchy Euler Equation Differential Equation - Differential equation for both positive and negative values of x 6= 0. In this section we will discuss how to solve euler’s differential equation, ax^2y'' + bxy'. We first solve the homogeneous.
We first solve the homogeneous. In this section we will discuss how to solve euler’s differential equation, ax^2y'' + bxy'. Differential equation for both positive and negative values of x 6= 0.
Differential equation for both positive and negative values of x 6= 0. In this section we will discuss how to solve euler’s differential equation, ax^2y'' + bxy'. We first solve the homogeneous.
Cauchy Euler Differential Equation PDF
We first solve the homogeneous. In this section we will discuss how to solve euler’s differential equation, ax^2y'' + bxy'. Differential equation for both positive and negative values of x 6= 0.
SOLUTION Cauchy euler linear differential equation Studypool
Differential equation for both positive and negative values of x 6= 0. In this section we will discuss how to solve euler’s differential equation, ax^2y'' + bxy'. We first solve the homogeneous.
Cauchy Eular Differential Equation PPT
Differential equation for both positive and negative values of x 6= 0. We first solve the homogeneous. In this section we will discuss how to solve euler’s differential equation, ax^2y'' + bxy'.
Solving CauchyEuler Equations Through Variable Transformation PDF
Differential equation for both positive and negative values of x 6= 0. We first solve the homogeneous. In this section we will discuss how to solve euler’s differential equation, ax^2y'' + bxy'.
SOLUTION 4.7 Cauchy euler equation of differential equation solution
We first solve the homogeneous. In this section we will discuss how to solve euler’s differential equation, ax^2y'' + bxy'. Differential equation for both positive and negative values of x 6= 0.
SOLUTION Cauchy euler linear differential equation Studypool
Differential equation for both positive and negative values of x 6= 0. We first solve the homogeneous. In this section we will discuss how to solve euler’s differential equation, ax^2y'' + bxy'.
Cauchy Eular Differential Equation PPT
Differential equation for both positive and negative values of x 6= 0. In this section we will discuss how to solve euler’s differential equation, ax^2y'' + bxy'. We first solve the homogeneous.
SOLUTION 4.7 Cauchy euler equation of differential equation solution
Differential equation for both positive and negative values of x 6= 0. We first solve the homogeneous. In this section we will discuss how to solve euler’s differential equation, ax^2y'' + bxy'.
CauchyEuler NonHomogeneous Equation Differential Equations Studocu
We first solve the homogeneous. Differential equation for both positive and negative values of x 6= 0. In this section we will discuss how to solve euler’s differential equation, ax^2y'' + bxy'.
Differential Equation For Both Positive And Negative Values Of X 6= 0.
In this section we will discuss how to solve euler’s differential equation, ax^2y'' + bxy'. We first solve the homogeneous.






