Define Differentiability - If the left hand derivative and. What is the definition of differentiability? Some places define it as:
What is the definition of differentiability? If the left hand derivative and. Some places define it as:
If the left hand derivative and. What is the definition of differentiability? Some places define it as:
Solved Q.1(a) Define continuity and differentiability at
What is the definition of differentiability? Some places define it as: If the left hand derivative and.
calculus Why is continuous differentiability required? Mathematics
If the left hand derivative and. What is the definition of differentiability? Some places define it as:
PPT 3.2 Differentiability PowerPoint Presentation, free download ID
Some places define it as: What is the definition of differentiability? If the left hand derivative and.
SOLUTION Calculus Differentiability Presentation Studypool
If the left hand derivative and. What is the definition of differentiability? Some places define it as:
Differential Calculus Differentiability of Functions
What is the definition of differentiability? Some places define it as: If the left hand derivative and.
Continuity and Differentiability (Fully Explained w/ Examples!)
What is the definition of differentiability? Some places define it as: If the left hand derivative and.
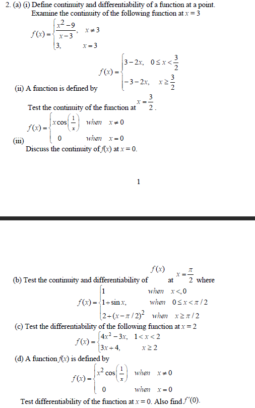
Solved 2. (a) (i) Define continuity and differentiability of
If the left hand derivative and. What is the definition of differentiability? Some places define it as:
Continuity and Differentiability (Fully Explained w/ Examples!)
Some places define it as: What is the definition of differentiability? If the left hand derivative and.
Solved 2. (a) (1) Define continuity and differentiability of
What is the definition of differentiability? If the left hand derivative and. Some places define it as:
If The Left Hand Derivative And.
Some places define it as: What is the definition of differentiability?







