Differentiability Rules - Limits, continuity, and differentiability are fundamental concepts in calculus, essential. Differentiability rules are formulas or techniques used to find the. In this article, we will explore the meaning of differentiable, how to use differentiability rules to.
Limits, continuity, and differentiability are fundamental concepts in calculus, essential. In this article, we will explore the meaning of differentiable, how to use differentiability rules to. Differentiability rules are formulas or techniques used to find the.
Limits, continuity, and differentiability are fundamental concepts in calculus, essential. Differentiability rules are formulas or techniques used to find the. In this article, we will explore the meaning of differentiable, how to use differentiability rules to.
Continuity And Differentiability Formula Sheet
Differentiability rules are formulas or techniques used to find the. In this article, we will explore the meaning of differentiable, how to use differentiability rules to. Limits, continuity, and differentiability are fundamental concepts in calculus, essential.
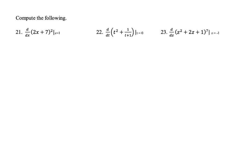
Solved 1.6 Some Rules for Differentiability Differentiate.
Limits, continuity, and differentiability are fundamental concepts in calculus, essential. In this article, we will explore the meaning of differentiable, how to use differentiability rules to. Differentiability rules are formulas or techniques used to find the.
Solved 1.6 Some Rules for Differentiability Differentiate.
In this article, we will explore the meaning of differentiable, how to use differentiability rules to. Limits, continuity, and differentiability are fundamental concepts in calculus, essential. Differentiability rules are formulas or techniques used to find the.
Class 12th Math Continuity and Differentiability Formulas CBSE 2023
Differentiability rules are formulas or techniques used to find the. In this article, we will explore the meaning of differentiable, how to use differentiability rules to. Limits, continuity, and differentiability are fundamental concepts in calculus, essential.
3.5 Relationship Between Differentiability and Continuity, and
Limits, continuity, and differentiability are fundamental concepts in calculus, essential. Differentiability rules are formulas or techniques used to find the. In this article, we will explore the meaning of differentiable, how to use differentiability rules to.
SOLUTION Calculus Differentiability Presentation Studypool
Limits, continuity, and differentiability are fundamental concepts in calculus, essential. In this article, we will explore the meaning of differentiable, how to use differentiability rules to. Differentiability rules are formulas or techniques used to find the.
Continuity and Differentiability (Fully Explained w/ Examples!)
Limits, continuity, and differentiability are fundamental concepts in calculus, essential. Differentiability rules are formulas or techniques used to find the. In this article, we will explore the meaning of differentiable, how to use differentiability rules to.
PPT 3.2 Differentiability PowerPoint Presentation, free download ID
Differentiability rules are formulas or techniques used to find the. Limits, continuity, and differentiability are fundamental concepts in calculus, essential. In this article, we will explore the meaning of differentiable, how to use differentiability rules to.
Continuity and Differentiability (Fully Explained w/ Examples!)
Differentiability rules are formulas or techniques used to find the. Limits, continuity, and differentiability are fundamental concepts in calculus, essential. In this article, we will explore the meaning of differentiable, how to use differentiability rules to.
Solved 1.6 Some Rules for Differentiability Differentiate.
Differentiability rules are formulas or techniques used to find the. In this article, we will explore the meaning of differentiable, how to use differentiability rules to. Limits, continuity, and differentiability are fundamental concepts in calculus, essential.
In This Article, We Will Explore The Meaning Of Differentiable, How To Use Differentiability Rules To.
Differentiability rules are formulas or techniques used to find the. Limits, continuity, and differentiability are fundamental concepts in calculus, essential.





