Differential Equations Exam 1 Review - Differential equations exam 1 study guide (edited by deborah batista) the exam will cover chapter 1. Y′′ + 3y′ + 2y =. Differential equations are simply equations that have derivatives in them. Math.2340 differential equations exam i review sheet section you should be able to: Math 241 (ordinary differential equations) test 1 practice problems (cohen) 3 handout:
Math 241 (ordinary differential equations) test 1 practice problems (cohen) 3 handout: Y′′ + 3y′ + 2y =. Math.2340 differential equations exam i review sheet section you should be able to: Differential equations exam 1 study guide (edited by deborah batista) the exam will cover chapter 1. Differential equations are simply equations that have derivatives in them.
Math.2340 differential equations exam i review sheet section you should be able to: Y′′ + 3y′ + 2y =. Math 241 (ordinary differential equations) test 1 practice problems (cohen) 3 handout: Differential equations are simply equations that have derivatives in them. Differential equations exam 1 study guide (edited by deborah batista) the exam will cover chapter 1.
teCh89 Differential Equations EXAM 1 B
Differential equations are simply equations that have derivatives in them. Differential equations exam 1 study guide (edited by deborah batista) the exam will cover chapter 1. Math 241 (ordinary differential equations) test 1 practice problems (cohen) 3 handout: Math.2340 differential equations exam i review sheet section you should be able to: Y′′ + 3y′ + 2y =.
Differential Equations—Final Exam Review Chapters 56
Math 241 (ordinary differential equations) test 1 practice problems (cohen) 3 handout: Differential equations exam 1 study guide (edited by deborah batista) the exam will cover chapter 1. Y′′ + 3y′ + 2y =. Math.2340 differential equations exam i review sheet section you should be able to: Differential equations are simply equations that have derivatives in them.
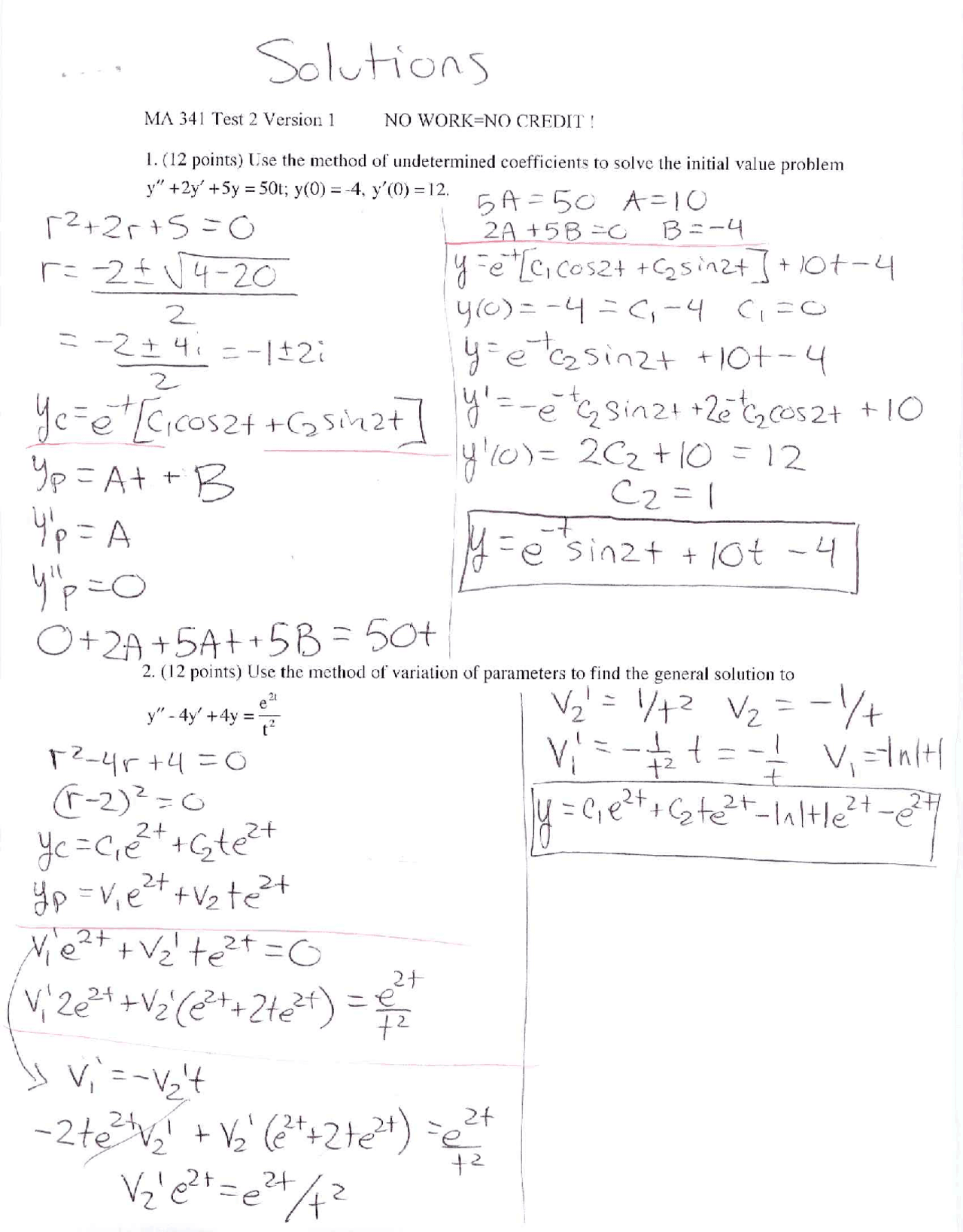
Exam 1 Version 1 Solutions Applied Differential Equations I MA 341
Differential equations are simply equations that have derivatives in them. Y′′ + 3y′ + 2y =. Math.2340 differential equations exam i review sheet section you should be able to: Math 241 (ordinary differential equations) test 1 practice problems (cohen) 3 handout: Differential equations exam 1 study guide (edited by deborah batista) the exam will cover chapter 1.
teCh89 Differential Equations EXAM 3
Differential equations are simply equations that have derivatives in them. Differential equations exam 1 study guide (edited by deborah batista) the exam will cover chapter 1. Math 241 (ordinary differential equations) test 1 practice problems (cohen) 3 handout: Math.2340 differential equations exam i review sheet section you should be able to: Y′′ + 3y′ + 2y =.
7 Solved Questions in Partial Differential Equations Final Exam
Differential equations are simply equations that have derivatives in them. Math.2340 differential equations exam i review sheet section you should be able to: Differential equations exam 1 study guide (edited by deborah batista) the exam will cover chapter 1. Y′′ + 3y′ + 2y =. Math 241 (ordinary differential equations) test 1 practice problems (cohen) 3 handout:
Linear Algebra And Differential Equations Exam 1 MA 26200 Docsity
Differential equations exam 1 study guide (edited by deborah batista) the exam will cover chapter 1. Differential equations are simply equations that have derivatives in them. Y′′ + 3y′ + 2y =. Math 241 (ordinary differential equations) test 1 practice problems (cohen) 3 handout: Math.2340 differential equations exam i review sheet section you should be able to:
(PDF) Partial Differential Equations Exam 1 Review …ramanujan.math
Differential equations exam 1 study guide (edited by deborah batista) the exam will cover chapter 1. Differential equations are simply equations that have derivatives in them. Math 241 (ordinary differential equations) test 1 practice problems (cohen) 3 handout: Y′′ + 3y′ + 2y =. Math.2340 differential equations exam i review sheet section you should be able to:
Differential Equations Exam 1 Review split 2/27/22, 1147 AM
Y′′ + 3y′ + 2y =. Differential equations exam 1 study guide (edited by deborah batista) the exam will cover chapter 1. Math.2340 differential equations exam i review sheet section you should be able to: Differential equations are simply equations that have derivatives in them. Math 241 (ordinary differential equations) test 1 practice problems (cohen) 3 handout:
Differential Equations Exam 1 Five Exercises to Solve Exams
Differential equations exam 1 study guide (edited by deborah batista) the exam will cover chapter 1. Math.2340 differential equations exam i review sheet section you should be able to: Differential equations are simply equations that have derivatives in them. Math 241 (ordinary differential equations) test 1 practice problems (cohen) 3 handout: Y′′ + 3y′ + 2y =.
Math 23 Differential Equations Final Exam Exams Differential
Differential equations are simply equations that have derivatives in them. Differential equations exam 1 study guide (edited by deborah batista) the exam will cover chapter 1. Y′′ + 3y′ + 2y =. Math 241 (ordinary differential equations) test 1 practice problems (cohen) 3 handout: Math.2340 differential equations exam i review sheet section you should be able to:
Math 241 (Ordinary Differential Equations) Test 1 Practice Problems (Cohen) 3 Handout:
Differential equations exam 1 study guide (edited by deborah batista) the exam will cover chapter 1. Y′′ + 3y′ + 2y =. Differential equations are simply equations that have derivatives in them. Math.2340 differential equations exam i review sheet section you should be able to:








