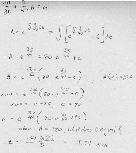
Differential Equations Mixture Problems - Now the differential equation for the amount of salt arises from the above equations: Salt and water enter the tank. Problems is to translate a given word problem into the differential equation. Mixing problems are an application of separable differential equations. A typical mixing problem deals with the amount of salt in a mixing tank.
Now the differential equation for the amount of salt arises from the above equations: Mixing problems are an application of separable differential equations. A typical mixing problem deals with the amount of salt in a mixing tank. Salt and water enter the tank. Problems is to translate a given word problem into the differential equation.
Mixing problems are an application of separable differential equations. A typical mixing problem deals with the amount of salt in a mixing tank. Problems is to translate a given word problem into the differential equation. Salt and water enter the tank. Now the differential equation for the amount of salt arises from the above equations:
Systems Of Equations Mixture Problems Pdf —
Mixing problems are an application of separable differential equations. Salt and water enter the tank. Now the differential equation for the amount of salt arises from the above equations: A typical mixing problem deals with the amount of salt in a mixing tank. Problems is to translate a given word problem into the differential equation.
ShowMe mixture problems
A typical mixing problem deals with the amount of salt in a mixing tank. Problems is to translate a given word problem into the differential equation. Now the differential equation for the amount of salt arises from the above equations: Salt and water enter the tank. Mixing problems are an application of separable differential equations.
Differential Equations FLOW AND Mixture Problems DIFFERENTIAL
A typical mixing problem deals with the amount of salt in a mixing tank. Now the differential equation for the amount of salt arises from the above equations: Mixing problems are an application of separable differential equations. Problems is to translate a given word problem into the differential equation. Salt and water enter the tank.
SOLUTION Differential equations mixture example application of first
A typical mixing problem deals with the amount of salt in a mixing tank. Now the differential equation for the amount of salt arises from the above equations: Problems is to translate a given word problem into the differential equation. Mixing problems are an application of separable differential equations. Salt and water enter the tank.
Algebra Mixture Problems (examples, Solutions, Videos) Free
Salt and water enter the tank. Mixing problems are an application of separable differential equations. Now the differential equation for the amount of salt arises from the above equations: Problems is to translate a given word problem into the differential equation. A typical mixing problem deals with the amount of salt in a mixing tank.
Mixing problems for differential equations — Krista King Math Online
Now the differential equation for the amount of salt arises from the above equations: A typical mixing problem deals with the amount of salt in a mixing tank. Salt and water enter the tank. Mixing problems are an application of separable differential equations. Problems is to translate a given word problem into the differential equation.
SOLUTION Differential equations mixture example application of first
Now the differential equation for the amount of salt arises from the above equations: A typical mixing problem deals with the amount of salt in a mixing tank. Mixing problems are an application of separable differential equations. Salt and water enter the tank. Problems is to translate a given word problem into the differential equation.
Differential Equations Mixture problem
Salt and water enter the tank. Problems is to translate a given word problem into the differential equation. Mixing problems are an application of separable differential equations. A typical mixing problem deals with the amount of salt in a mixing tank. Now the differential equation for the amount of salt arises from the above equations:
ShowMe mixture problems
Salt and water enter the tank. Mixing problems are an application of separable differential equations. Now the differential equation for the amount of salt arises from the above equations: A typical mixing problem deals with the amount of salt in a mixing tank. Problems is to translate a given word problem into the differential equation.
PPT MATH 3331—Ordinary Differential Equations PowerPoint Presentation
Salt and water enter the tank. A typical mixing problem deals with the amount of salt in a mixing tank. Now the differential equation for the amount of salt arises from the above equations: Mixing problems are an application of separable differential equations. Problems is to translate a given word problem into the differential equation.
Mixing Problems Are An Application Of Separable Differential Equations.
A typical mixing problem deals with the amount of salt in a mixing tank. Now the differential equation for the amount of salt arises from the above equations: Problems is to translate a given word problem into the differential equation. Salt and water enter the tank.





