Differential Equations Practice Test - Find the solution (in implicit form if. Differential equations (math 242.01) practice final exam 1. A tank originally contains 10 gal of water with. Solve the equation and determine a formula for the required payment, p , so that the loan is paid off in. Differential equations final exam practice solutions 1. These practice questions on differential equations with solution will help you.
These practice questions on differential equations with solution will help you. Solve the equation and determine a formula for the required payment, p , so that the loan is paid off in. Find the solution (in implicit form if. Differential equations final exam practice solutions 1. A tank originally contains 10 gal of water with. Differential equations (math 242.01) practice final exam 1.
Differential equations (math 242.01) practice final exam 1. These practice questions on differential equations with solution will help you. A tank originally contains 10 gal of water with. Solve the equation and determine a formula for the required payment, p , so that the loan is paid off in. Find the solution (in implicit form if. Differential equations final exam practice solutions 1.
Solved MAT 5 Differential Equations Practice with Linear
These practice questions on differential equations with solution will help you. Differential equations (math 242.01) practice final exam 1. A tank originally contains 10 gal of water with. Differential equations final exam practice solutions 1. Solve the equation and determine a formula for the required payment, p , so that the loan is paid off in.
Solved MATH 3360 (Differential Equations) Practice Exam 1 4.
A tank originally contains 10 gal of water with. Differential equations final exam practice solutions 1. Differential equations (math 242.01) practice final exam 1. Find the solution (in implicit form if. These practice questions on differential equations with solution will help you.
Differential Equations Practice Problems with Solution MATH 212
Differential equations (math 242.01) practice final exam 1. A tank originally contains 10 gal of water with. Solve the equation and determine a formula for the required payment, p , so that the loan is paid off in. Differential equations final exam practice solutions 1. Find the solution (in implicit form if.
Differential Equations Worksheet and Solutions Mastering the Fundamentals
A tank originally contains 10 gal of water with. Differential equations final exam practice solutions 1. Differential equations (math 242.01) practice final exam 1. These practice questions on differential equations with solution will help you. Solve the equation and determine a formula for the required payment, p , so that the loan is paid off in.
Solved Differential Equations Practice test Given the
These practice questions on differential equations with solution will help you. Find the solution (in implicit form if. Solve the equation and determine a formula for the required payment, p , so that the loan is paid off in. Differential equations (math 242.01) practice final exam 1. A tank originally contains 10 gal of water with.
Solved Differential EquationsPractice test Gave the stem of
Differential equations final exam practice solutions 1. Find the solution (in implicit form if. A tank originally contains 10 gal of water with. These practice questions on differential equations with solution will help you. Solve the equation and determine a formula for the required payment, p , so that the loan is paid off in.
Quiz & Worksheet Separable Differential Equations
These practice questions on differential equations with solution will help you. Find the solution (in implicit form if. Differential equations (math 242.01) practice final exam 1. Solve the equation and determine a formula for the required payment, p , so that the loan is paid off in. Differential equations final exam practice solutions 1.
Separable Differential Equations Worksheet Equations Worksheets
A tank originally contains 10 gal of water with. These practice questions on differential equations with solution will help you. Solve the equation and determine a formula for the required payment, p , so that the loan is paid off in. Differential equations (math 242.01) practice final exam 1. Differential equations final exam practice solutions 1.
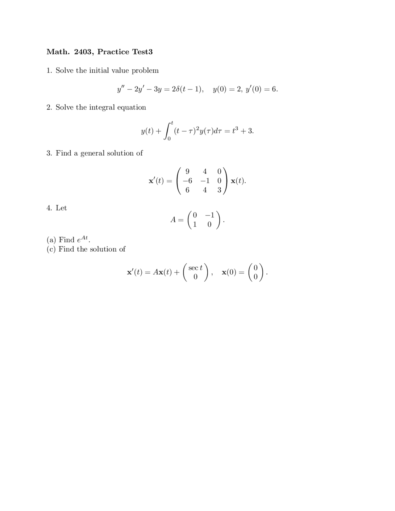
4 Questions on Differential Equations Practice Test 3 MATH 2403
Differential equations (math 242.01) practice final exam 1. These practice questions on differential equations with solution will help you. A tank originally contains 10 gal of water with. Differential equations final exam practice solutions 1. Find the solution (in implicit form if.
Quiz01 keys Practice quiz solving differential equations MTH 224
Solve the equation and determine a formula for the required payment, p , so that the loan is paid off in. These practice questions on differential equations with solution will help you. Differential equations (math 242.01) practice final exam 1. Find the solution (in implicit form if. A tank originally contains 10 gal of water with.
Differential Equations Final Exam Practice Solutions 1.
Solve the equation and determine a formula for the required payment, p , so that the loan is paid off in. A tank originally contains 10 gal of water with. Find the solution (in implicit form if. Differential equations (math 242.01) practice final exam 1.






