Example Of Bernoulli Differential Equation - In mathematics, an ordinary differential equation is called a bernoulli differential equation if it is of the form y ′ + p ( x ) y = q ( x ) y n ,. Examples of bernoulli differential equations. Let's look at a few examples of solving bernoulli differential equations. In this section we are going to take a look at differential equations in the form, where p(x) p (x) and q(x) q (x) are continuous. Exact di erential equations bernoulli’s di erential equation gravity potential function exact di erential equation example 1 example: A bernoulli differential equation can be written in the following standard form: Dy dx +p(x)y = q(x)yn, where n 6= 1 (the equation is thus nonlinear).
Exact di erential equations bernoulli’s di erential equation gravity potential function exact di erential equation example 1 example: In mathematics, an ordinary differential equation is called a bernoulli differential equation if it is of the form y ′ + p ( x ) y = q ( x ) y n ,. A bernoulli differential equation can be written in the following standard form: Dy dx +p(x)y = q(x)yn, where n 6= 1 (the equation is thus nonlinear). Examples of bernoulli differential equations. Let's look at a few examples of solving bernoulli differential equations. In this section we are going to take a look at differential equations in the form, where p(x) p (x) and q(x) q (x) are continuous.
Let's look at a few examples of solving bernoulli differential equations. Dy dx +p(x)y = q(x)yn, where n 6= 1 (the equation is thus nonlinear). In this section we are going to take a look at differential equations in the form, where p(x) p (x) and q(x) q (x) are continuous. Exact di erential equations bernoulli’s di erential equation gravity potential function exact di erential equation example 1 example: Examples of bernoulli differential equations. A bernoulli differential equation can be written in the following standard form: In mathematics, an ordinary differential equation is called a bernoulli differential equation if it is of the form y ′ + p ( x ) y = q ( x ) y n ,.
Bernoulli Energy Equation Tessshebaylo
Examples of bernoulli differential equations. In this section we are going to take a look at differential equations in the form, where p(x) p (x) and q(x) q (x) are continuous. In mathematics, an ordinary differential equation is called a bernoulli differential equation if it is of the form y ′ + p ( x ) y = q (.
SOLUTION Bernoulli differential equation with example Studypool
A bernoulli differential equation can be written in the following standard form: Examples of bernoulli differential equations. Let's look at a few examples of solving bernoulli differential equations. In mathematics, an ordinary differential equation is called a bernoulli differential equation if it is of the form y ′ + p ( x ) y = q ( x ) y.
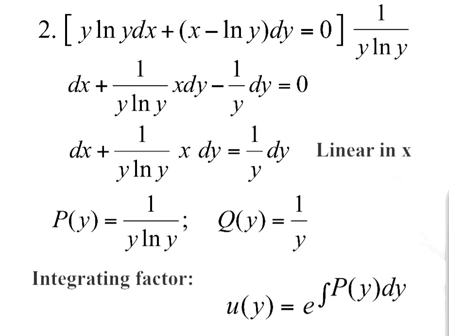
SOLUTION Differential equation the bernoulli equation Studypool
In this section we are going to take a look at differential equations in the form, where p(x) p (x) and q(x) q (x) are continuous. Dy dx +p(x)y = q(x)yn, where n 6= 1 (the equation is thus nonlinear). Examples of bernoulli differential equations. A bernoulli differential equation can be written in the following standard form: In mathematics, an.
Bernoulli’s differential equation Yawin
Examples of bernoulli differential equations. In mathematics, an ordinary differential equation is called a bernoulli differential equation if it is of the form y ′ + p ( x ) y = q ( x ) y n ,. Dy dx +p(x)y = q(x)yn, where n 6= 1 (the equation is thus nonlinear). In this section we are going to.
Understanding Bernoulli's Equation Engineering Discoveries
In this section we are going to take a look at differential equations in the form, where p(x) p (x) and q(x) q (x) are continuous. Exact di erential equations bernoulli’s di erential equation gravity potential function exact di erential equation example 1 example: Examples of bernoulli differential equations. Dy dx +p(x)y = q(x)yn, where n 6= 1 (the equation.
Solved (10 points) A Bernoulli differential equation is
In this section we are going to take a look at differential equations in the form, where p(x) p (x) and q(x) q (x) are continuous. Exact di erential equations bernoulli’s di erential equation gravity potential function exact di erential equation example 1 example: In mathematics, an ordinary differential equation is called a bernoulli differential equation if it is of.
Bernoulli differential equation Alchetron, the free social encyclopedia
Dy dx +p(x)y = q(x)yn, where n 6= 1 (the equation is thus nonlinear). A bernoulli differential equation can be written in the following standard form: In mathematics, an ordinary differential equation is called a bernoulli differential equation if it is of the form y ′ + p ( x ) y = q ( x ) y n ,..
Bernoulli's Equation Bernoulli's Principle Definition nuclear
In this section we are going to take a look at differential equations in the form, where p(x) p (x) and q(x) q (x) are continuous. A bernoulli differential equation can be written in the following standard form: Dy dx +p(x)y = q(x)yn, where n 6= 1 (the equation is thus nonlinear). Exact di erential equations bernoulli’s di erential equation.
Solved Topic Bernoulli Differential Equation MethodPlease
A bernoulli differential equation can be written in the following standard form: Dy dx +p(x)y = q(x)yn, where n 6= 1 (the equation is thus nonlinear). Let's look at a few examples of solving bernoulli differential equations. In this section we are going to take a look at differential equations in the form, where p(x) p (x) and q(x) q.
SOLUTION Bernoulli differential equation with example Studypool
A bernoulli differential equation can be written in the following standard form: In mathematics, an ordinary differential equation is called a bernoulli differential equation if it is of the form y ′ + p ( x ) y = q ( x ) y n ,. Examples of bernoulli differential equations. Exact di erential equations bernoulli’s di erential equation gravity.
In Mathematics, An Ordinary Differential Equation Is Called A Bernoulli Differential Equation If It Is Of The Form Y ′ + P ( X ) Y = Q ( X ) Y N ,.
Exact di erential equations bernoulli’s di erential equation gravity potential function exact di erential equation example 1 example: A bernoulli differential equation can be written in the following standard form: Examples of bernoulli differential equations. Let's look at a few examples of solving bernoulli differential equations.
In This Section We Are Going To Take A Look At Differential Equations In The Form, Where P(X) P (X) And Q(X) Q (X) Are Continuous.
Dy dx +p(x)y = q(x)yn, where n 6= 1 (the equation is thus nonlinear).








