Final Exam Differential Equations - What is the definition of a differential equation? Differential equations final exam practice solutions 1. A differential equation is an equation that relates a function and its derivatives. A tank originally contains 10 gal of water with 1/2 lb of salt in solution. This resource contains practice final exam. The following come from fall 2021; The coverage of exams might vary over time so study accordingly. This section provides a final exam on differential equations, exam solutions, and a practice exam. A pdf compilation of all problems. You have three hours to.
A tank originally contains 10 gal of water with 1/2 lb of salt in solution. The following come from fall 2021; Differential equations final exam practice solutions 1. This section provides a final exam on differential equations, exam solutions, and a practice exam. The coverage of exams might vary over time so study accordingly. What is the definition of a differential equation? This resource contains practice final exam. A differential equation is an equation that relates a function and its derivatives. You have three hours to. A pdf compilation of all problems.
This section provides a final exam on differential equations, exam solutions, and a practice exam. What is the definition of a differential equation? The following come from fall 2021; This resource contains practice final exam. Differential equations final exam practice solutions 1. A pdf compilation of all problems. You have three hours to. A tank originally contains 10 gal of water with 1/2 lb of salt in solution. The coverage of exams might vary over time so study accordingly. A differential equation is an equation that relates a function and its derivatives.
Solved Differential Equations Final ExamSpring20162017...
The coverage of exams might vary over time so study accordingly. This resource contains practice final exam. You have three hours to. What is the definition of a differential equation? This section provides a final exam on differential equations, exam solutions, and a practice exam.
Differential Equations Midterm Exam Questions And Solutions 2015 » Vize
A pdf compilation of all problems. Differential equations final exam practice solutions 1. The following come from fall 2021; This resource contains practice final exam. A tank originally contains 10 gal of water with 1/2 lb of salt in solution.
SOLUTION Differential equations final exam Studypool
This section provides a final exam on differential equations, exam solutions, and a practice exam. A pdf compilation of all problems. The coverage of exams might vary over time so study accordingly. Differential equations final exam practice solutions 1. You have three hours to.
Differential equation study guide for exam (formula sheet) PDF
This section provides a final exam on differential equations, exam solutions, and a practice exam. A differential equation is an equation that relates a function and its derivatives. This resource contains practice final exam. A pdf compilation of all problems. The coverage of exams might vary over time so study accordingly.
SOLUTION Differential equations final exam Studypool
What is the definition of a differential equation? The coverage of exams might vary over time so study accordingly. A differential equation is an equation that relates a function and its derivatives. You have three hours to. The following come from fall 2021;
Solved Review Final Exam, Math 3320 Differential Equatio...
A differential equation is an equation that relates a function and its derivatives. You have three hours to. A tank originally contains 10 gal of water with 1/2 lb of salt in solution. The following come from fall 2021; What is the definition of a differential equation?
Differential Equations 2280 Sample Final Exam
A differential equation is an equation that relates a function and its derivatives. A pdf compilation of all problems. The coverage of exams might vary over time so study accordingly. You have three hours to. Differential equations final exam practice solutions 1.
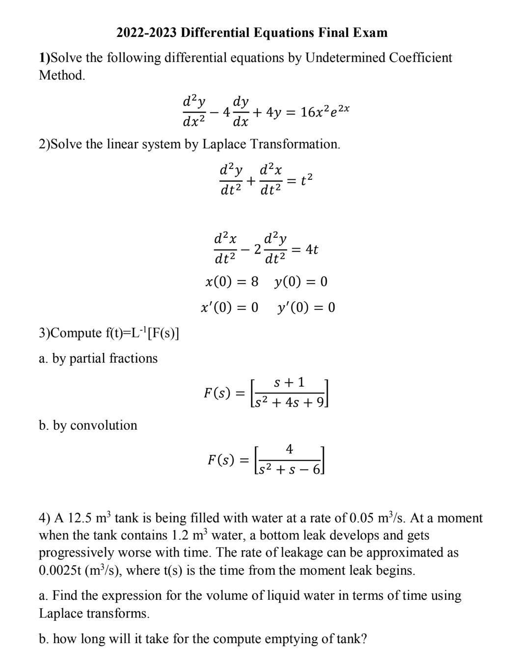
20222023 Differential Equations Final ExamSolve the
A differential equation is an equation that relates a function and its derivatives. A pdf compilation of all problems. You have three hours to. Differential equations final exam practice solutions 1. A tank originally contains 10 gal of water with 1/2 lb of salt in solution.
Differential Equations Final Exam Practice Solutions
This resource contains practice final exam. A tank originally contains 10 gal of water with 1/2 lb of salt in solution. Differential equations final exam practice solutions 1. The following come from fall 2021; A pdf compilation of all problems.
Differential Equations Final Exam Practice Solving Differential
A pdf compilation of all problems. This section provides a final exam on differential equations, exam solutions, and a practice exam. You have three hours to. A differential equation is an equation that relates a function and its derivatives. Differential equations final exam practice solutions 1.
The Following Come From Fall 2021;
This section provides a final exam on differential equations, exam solutions, and a practice exam. A differential equation is an equation that relates a function and its derivatives. You have three hours to. A tank originally contains 10 gal of water with 1/2 lb of salt in solution.
The Coverage Of Exams Might Vary Over Time So Study Accordingly.
This resource contains practice final exam. A pdf compilation of all problems. What is the definition of a differential equation? Differential equations final exam practice solutions 1.





