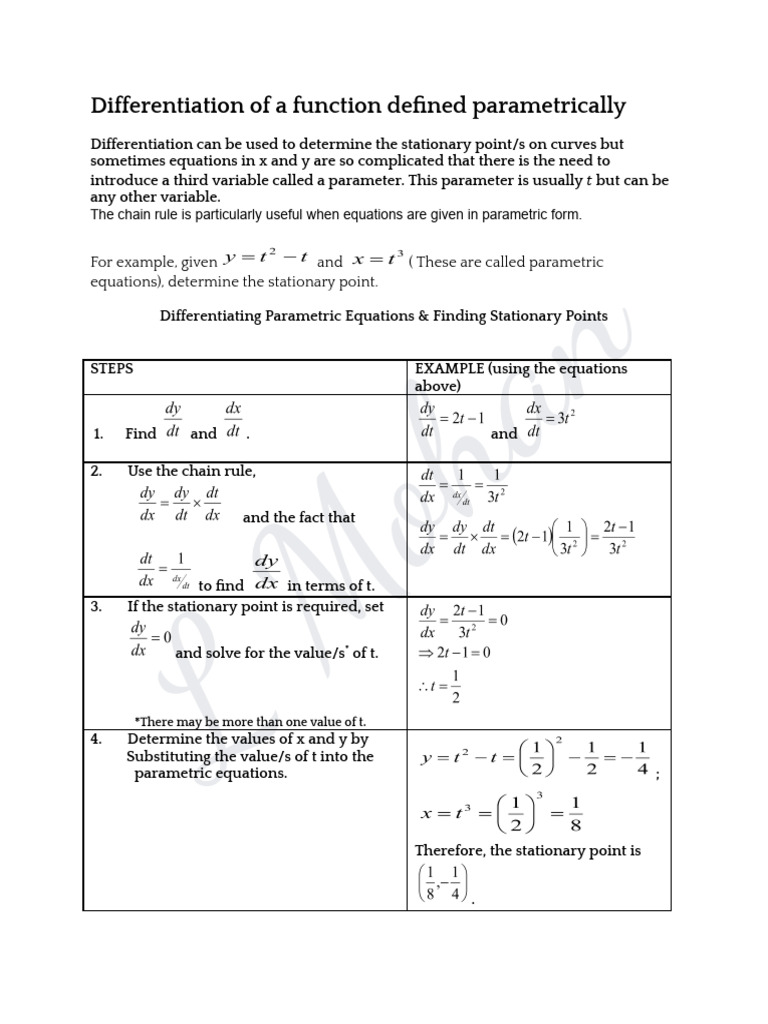
Parametric Differentiation - Learn how to find dy/dx from parametric equations using the chain rule and. To differentiate parametric equations, we must use the chain rule. If x = 2at 2 and y =. Learn how to find the derivative of a function in parametric form, which is when the.
Learn how to find dy/dx from parametric equations using the chain rule and. Learn how to find the derivative of a function in parametric form, which is when the. To differentiate parametric equations, we must use the chain rule. If x = 2at 2 and y =.
Learn how to find dy/dx from parametric equations using the chain rule and. To differentiate parametric equations, we must use the chain rule. If x = 2at 2 and y =. Learn how to find the derivative of a function in parametric form, which is when the.
Parametric Differentiation
Learn how to find the derivative of a function in parametric form, which is when the. To differentiate parametric equations, we must use the chain rule. If x = 2at 2 and y =. Learn how to find dy/dx from parametric equations using the chain rule and.
Parametric Differentiation
To differentiate parametric equations, we must use the chain rule. If x = 2at 2 and y =. Learn how to find the derivative of a function in parametric form, which is when the. Learn how to find dy/dx from parametric equations using the chain rule and.
Parametric Differentiation PDF
If x = 2at 2 and y =. Learn how to find dy/dx from parametric equations using the chain rule and. To differentiate parametric equations, we must use the chain rule. Learn how to find the derivative of a function in parametric form, which is when the.
Parametric Differentiation
Learn how to find the derivative of a function in parametric form, which is when the. If x = 2at 2 and y =. To differentiate parametric equations, we must use the chain rule. Learn how to find dy/dx from parametric equations using the chain rule and.
PARAMETRIC DIFFERENTIATION Mathtec
Learn how to find the derivative of a function in parametric form, which is when the. To differentiate parametric equations, we must use the chain rule. Learn how to find dy/dx from parametric equations using the chain rule and. If x = 2at 2 and y =.
09 03 Parametric Differentiation PDF Derivative Function
Learn how to find dy/dx from parametric equations using the chain rule and. If x = 2at 2 and y =. To differentiate parametric equations, we must use the chain rule. Learn how to find the derivative of a function in parametric form, which is when the.
Parametric differentiation is differentiating a function with respect
To differentiate parametric equations, we must use the chain rule. Learn how to find the derivative of a function in parametric form, which is when the. If x = 2at 2 and y =. Learn how to find dy/dx from parametric equations using the chain rule and.
Parametric Differentiation
Learn how to find dy/dx from parametric equations using the chain rule and. Learn how to find the derivative of a function in parametric form, which is when the. If x = 2at 2 and y =. To differentiate parametric equations, we must use the chain rule.
Parametric Equations Section 2 Parametric Differentiation PDF
Learn how to find the derivative of a function in parametric form, which is when the. To differentiate parametric equations, we must use the chain rule. If x = 2at 2 and y =. Learn how to find dy/dx from parametric equations using the chain rule and.
Learn How To Find The Derivative Of A Function In Parametric Form, Which Is When The.
If x = 2at 2 and y =. Learn how to find dy/dx from parametric equations using the chain rule and. To differentiate parametric equations, we must use the chain rule.






