Power Series Of Differential Equations - In this section we give a brief review of some of the basics of power series. That is, we look for a solution of the form. Included are discussions of using the ratio. Power series solution of a differential equation we conclude this chapter by showing how power series can be used to solve certain types of. In such a case we use the method of power series; This example demonstrated how we can solve a simple differential equation by first guessing that the solution was in the form of a. The basic idea to finding a series solution to a differential equation is to assume that we can write the solution as a power series. The method is to substitute this expression into the.
Power series solution of a differential equation we conclude this chapter by showing how power series can be used to solve certain types of. The method is to substitute this expression into the. In this section we give a brief review of some of the basics of power series. That is, we look for a solution of the form. Included are discussions of using the ratio. This example demonstrated how we can solve a simple differential equation by first guessing that the solution was in the form of a. In such a case we use the method of power series; The basic idea to finding a series solution to a differential equation is to assume that we can write the solution as a power series.
Power series solution of a differential equation we conclude this chapter by showing how power series can be used to solve certain types of. The method is to substitute this expression into the. In this section we give a brief review of some of the basics of power series. That is, we look for a solution of the form. The basic idea to finding a series solution to a differential equation is to assume that we can write the solution as a power series. In such a case we use the method of power series; Included are discussions of using the ratio. This example demonstrated how we can solve a simple differential equation by first guessing that the solution was in the form of a.
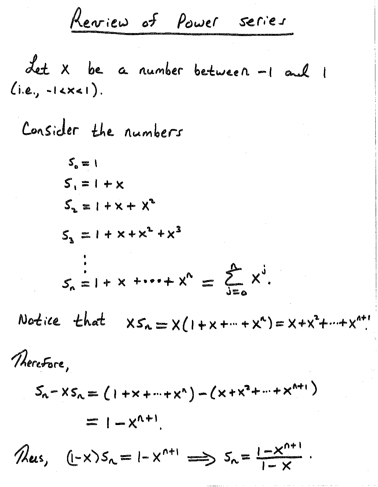
Review of Power Series Differential Equations and Transforms MATH
Included are discussions of using the ratio. In this section we give a brief review of some of the basics of power series. The basic idea to finding a series solution to a differential equation is to assume that we can write the solution as a power series. This example demonstrated how we can solve a simple differential equation by.
3 Power Series PDF PDF Power Series Ordinary Differential Equation
In such a case we use the method of power series; This example demonstrated how we can solve a simple differential equation by first guessing that the solution was in the form of a. The basic idea to finding a series solution to a differential equation is to assume that we can write the solution as a power series. The.
Power Series Differential Equations Assignment 6 Solutions PDF
The basic idea to finding a series solution to a differential equation is to assume that we can write the solution as a power series. In such a case we use the method of power series; This example demonstrated how we can solve a simple differential equation by first guessing that the solution was in the form of a. That.
Power Series Solution Of Differential Equations
In such a case we use the method of power series; Included are discussions of using the ratio. In this section we give a brief review of some of the basics of power series. The basic idea to finding a series solution to a differential equation is to assume that we can write the solution as a power series. This.
[Solved] Ordinary Differential equation. Use the power series method to
The basic idea to finding a series solution to a differential equation is to assume that we can write the solution as a power series. This example demonstrated how we can solve a simple differential equation by first guessing that the solution was in the form of a. Power series solution of a differential equation we conclude this chapter by.
[Solved] Find two power series solutions of the given differential
The method is to substitute this expression into the. The basic idea to finding a series solution to a differential equation is to assume that we can write the solution as a power series. That is, we look for a solution of the form. In this section we give a brief review of some of the basics of power series..
Power SeriesDifferential Equation Differential Equations II Studocu
In this section we give a brief review of some of the basics of power series. That is, we look for a solution of the form. This example demonstrated how we can solve a simple differential equation by first guessing that the solution was in the form of a. Power series solution of a differential equation we conclude this chapter.
4.1 Introduction to Power Series Mathematics LibreTexts
Included are discussions of using the ratio. The method is to substitute this expression into the. This example demonstrated how we can solve a simple differential equation by first guessing that the solution was in the form of a. The basic idea to finding a series solution to a differential equation is to assume that we can write the solution.
Power Series Handwritten Notes on Elementary Differential Equations
This example demonstrated how we can solve a simple differential equation by first guessing that the solution was in the form of a. In this section we give a brief review of some of the basics of power series. In such a case we use the method of power series; Power series solution of a differential equation we conclude this.
Power Series PDF
Included are discussions of using the ratio. This example demonstrated how we can solve a simple differential equation by first guessing that the solution was in the form of a. The method is to substitute this expression into the. The basic idea to finding a series solution to a differential equation is to assume that we can write the solution.
The Basic Idea To Finding A Series Solution To A Differential Equation Is To Assume That We Can Write The Solution As A Power Series.
That is, we look for a solution of the form. In such a case we use the method of power series; The method is to substitute this expression into the. In this section we give a brief review of some of the basics of power series.
Included Are Discussions Of Using The Ratio.
Power series solution of a differential equation we conclude this chapter by showing how power series can be used to solve certain types of. This example demonstrated how we can solve a simple differential equation by first guessing that the solution was in the form of a.


