Solving Second Order Differential Equations - Not the answer you're looking for? I need to solve the following system of coupled 2nd order differential equations: The general solution can be expressed as a sum of particular solutions. Then you have to solve the same problem linear equation for successively higher powers p in.
I need to solve the following system of coupled 2nd order differential equations: The general solution can be expressed as a sum of particular solutions. Then you have to solve the same problem linear equation for successively higher powers p in. Not the answer you're looking for?
The general solution can be expressed as a sum of particular solutions. Then you have to solve the same problem linear equation for successively higher powers p in. I need to solve the following system of coupled 2nd order differential equations: Not the answer you're looking for?
Chapter 8 Solving Second order differential equations numerically
The general solution can be expressed as a sum of particular solutions. Then you have to solve the same problem linear equation for successively higher powers p in. Not the answer you're looking for? I need to solve the following system of coupled 2nd order differential equations:
calculus Solving second order differential equations for forced
Not the answer you're looking for? Then you have to solve the same problem linear equation for successively higher powers p in. The general solution can be expressed as a sum of particular solutions. I need to solve the following system of coupled 2nd order differential equations:
Chapter 8 Solving Second order differential equations numerically
I need to solve the following system of coupled 2nd order differential equations: The general solution can be expressed as a sum of particular solutions. Not the answer you're looking for? Then you have to solve the same problem linear equation for successively higher powers p in.
(PDF) Second Order Differential Equations
I need to solve the following system of coupled 2nd order differential equations: The general solution can be expressed as a sum of particular solutions. Then you have to solve the same problem linear equation for successively higher powers p in. Not the answer you're looking for?
Solving secondorder differential equations. Mathematics Stack Exchange
Not the answer you're looking for? I need to solve the following system of coupled 2nd order differential equations: Then you have to solve the same problem linear equation for successively higher powers p in. The general solution can be expressed as a sum of particular solutions.
Second Order Differential Equations
The general solution can be expressed as a sum of particular solutions. Then you have to solve the same problem linear equation for successively higher powers p in. I need to solve the following system of coupled 2nd order differential equations: Not the answer you're looking for?
Solving Second Order Differential Equations This Maple session
The general solution can be expressed as a sum of particular solutions. Then you have to solve the same problem linear equation for successively higher powers p in. Not the answer you're looking for? I need to solve the following system of coupled 2nd order differential equations:
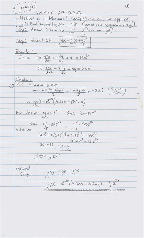
SOLUTION Lesson 06 solving second order differential equations Studypool
Then you have to solve the same problem linear equation for successively higher powers p in. The general solution can be expressed as a sum of particular solutions. I need to solve the following system of coupled 2nd order differential equations: Not the answer you're looking for?
General Solutions to Second Order Differential Equations Mr
Not the answer you're looking for? The general solution can be expressed as a sum of particular solutions. I need to solve the following system of coupled 2nd order differential equations: Then you have to solve the same problem linear equation for successively higher powers p in.
Chapter 8 Solving Second order differential equations numerically
Not the answer you're looking for? I need to solve the following system of coupled 2nd order differential equations: The general solution can be expressed as a sum of particular solutions. Then you have to solve the same problem linear equation for successively higher powers p in.
Then You Have To Solve The Same Problem Linear Equation For Successively Higher Powers P In.
I need to solve the following system of coupled 2nd order differential equations: The general solution can be expressed as a sum of particular solutions. Not the answer you're looking for?








