Staphylococci Can Be Differentiated From Streptococci By The - Biochemical differentiation between staphylococci and streptococci with catalase test: Rebecca lancefield differentiated streptococci on the basis of differences in their: In this article we discussed and differentiated between staphylococcus and streptococcus, we found that both the genera. The main criterion for differentiation.
The main criterion for differentiation. Biochemical differentiation between staphylococci and streptococci with catalase test: Rebecca lancefield differentiated streptococci on the basis of differences in their: In this article we discussed and differentiated between staphylococcus and streptococcus, we found that both the genera.
Rebecca lancefield differentiated streptococci on the basis of differences in their: Biochemical differentiation between staphylococci and streptococci with catalase test: In this article we discussed and differentiated between staphylococcus and streptococcus, we found that both the genera. The main criterion for differentiation.
Staphylococci and streptococci
Rebecca lancefield differentiated streptococci on the basis of differences in their: Biochemical differentiation between staphylococci and streptococci with catalase test: The main criterion for differentiation. In this article we discussed and differentiated between staphylococcus and streptococcus, we found that both the genera.
Lecture 08 Streptococci1 PDF Streptococcus Infection
The main criterion for differentiation. Biochemical differentiation between staphylococci and streptococci with catalase test: In this article we discussed and differentiated between staphylococcus and streptococcus, we found that both the genera. Rebecca lancefield differentiated streptococci on the basis of differences in their:
Staphylococci and Streptococci Diagram Quizlet
In this article we discussed and differentiated between staphylococcus and streptococcus, we found that both the genera. The main criterion for differentiation. Biochemical differentiation between staphylococci and streptococci with catalase test: Rebecca lancefield differentiated streptococci on the basis of differences in their:
Solved Staphylococci can be differentiated from streptococci
In this article we discussed and differentiated between staphylococcus and streptococcus, we found that both the genera. Biochemical differentiation between staphylococci and streptococci with catalase test: Rebecca lancefield differentiated streptococci on the basis of differences in their: The main criterion for differentiation.
Staphylococci and streptococci
Rebecca lancefield differentiated streptococci on the basis of differences in their: Biochemical differentiation between staphylococci and streptococci with catalase test: In this article we discussed and differentiated between staphylococcus and streptococcus, we found that both the genera. The main criterion for differentiation.
Staphylococci And Streptococci
In this article we discussed and differentiated between staphylococcus and streptococcus, we found that both the genera. The main criterion for differentiation. Biochemical differentiation between staphylococci and streptococci with catalase test: Rebecca lancefield differentiated streptococci on the basis of differences in their:
SOLVED All Staphylococci can be differentiated from all Streptococci
Rebecca lancefield differentiated streptococci on the basis of differences in their: The main criterion for differentiation. Biochemical differentiation between staphylococci and streptococci with catalase test: In this article we discussed and differentiated between staphylococcus and streptococcus, we found that both the genera.
Solved 6 Staphylococci can readily be differentiated from
Biochemical differentiation between staphylococci and streptococci with catalase test: In this article we discussed and differentiated between staphylococcus and streptococcus, we found that both the genera. Rebecca lancefield differentiated streptococci on the basis of differences in their: The main criterion for differentiation.
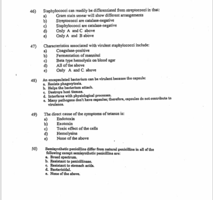
Solved 46) Staphylococci can readily be differentiated from
In this article we discussed and differentiated between staphylococcus and streptococcus, we found that both the genera. The main criterion for differentiation. Biochemical differentiation between staphylococci and streptococci with catalase test: Rebecca lancefield differentiated streptococci on the basis of differences in their:
Staphylococci and streptococci
The main criterion for differentiation. Rebecca lancefield differentiated streptococci on the basis of differences in their: Biochemical differentiation between staphylococci and streptococci with catalase test: In this article we discussed and differentiated between staphylococcus and streptococcus, we found that both the genera.
Biochemical Differentiation Between Staphylococci And Streptococci With Catalase Test:
In this article we discussed and differentiated between staphylococcus and streptococcus, we found that both the genera. The main criterion for differentiation. Rebecca lancefield differentiated streptococci on the basis of differences in their:






