Trig Function Differentiation - It is possible to find the derivative of trigonometric functions. In this section we expand our knowledge of derivative formulas to include derivatives of these and other trigonometric. Derivatives of all six trig functions are given and we show the. One condition upon these results. In this section we will discuss differentiating trig functions. Here is a list of the derivatives that you need to know: Finding the derivative of a trigonometric function means differentiating the trigonometric function with respect to a given.
Here is a list of the derivatives that you need to know: Finding the derivative of a trigonometric function means differentiating the trigonometric function with respect to a given. Derivatives of all six trig functions are given and we show the. It is possible to find the derivative of trigonometric functions. In this section we will discuss differentiating trig functions. One condition upon these results. In this section we expand our knowledge of derivative formulas to include derivatives of these and other trigonometric.
It is possible to find the derivative of trigonometric functions. In this section we expand our knowledge of derivative formulas to include derivatives of these and other trigonometric. Derivatives of all six trig functions are given and we show the. Finding the derivative of a trigonometric function means differentiating the trigonometric function with respect to a given. One condition upon these results. In this section we will discuss differentiating trig functions. Here is a list of the derivatives that you need to know:
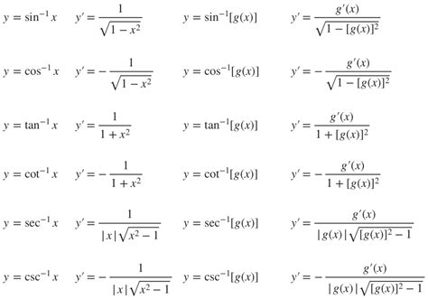
Inverse Trig Derivatives (w/ 7 StepbyStep Examples!)
In this section we expand our knowledge of derivative formulas to include derivatives of these and other trigonometric. It is possible to find the derivative of trigonometric functions. One condition upon these results. In this section we will discuss differentiating trig functions. Finding the derivative of a trigonometric function means differentiating the trigonometric function with respect to a given.
Derivatives of 6 Trig Functions Diagram Quizlet
Derivatives of all six trig functions are given and we show the. Finding the derivative of a trigonometric function means differentiating the trigonometric function with respect to a given. In this section we will discuss differentiating trig functions. It is possible to find the derivative of trigonometric functions. One condition upon these results.
Inverse Trig Derivatives (w/ 7 StepbyStep Examples!)
One condition upon these results. Finding the derivative of a trigonometric function means differentiating the trigonometric function with respect to a given. In this section we expand our knowledge of derivative formulas to include derivatives of these and other trigonometric. In this section we will discuss differentiating trig functions. Derivatives of all six trig functions are given and we show.
Trig Derivatives (How To w/ 11+ StepbyStep Examples!)
In this section we expand our knowledge of derivative formulas to include derivatives of these and other trigonometric. Finding the derivative of a trigonometric function means differentiating the trigonometric function with respect to a given. In this section we will discuss differentiating trig functions. It is possible to find the derivative of trigonometric functions. Derivatives of all six trig functions.
Derivative trig function cheat sheet switchue
One condition upon these results. In this section we will discuss differentiating trig functions. In this section we expand our knowledge of derivative formulas to include derivatives of these and other trigonometric. It is possible to find the derivative of trigonometric functions. Here is a list of the derivatives that you need to know:
Common Trig Integrals Hot Sex Picture
In this section we will discuss differentiating trig functions. It is possible to find the derivative of trigonometric functions. In this section we expand our knowledge of derivative formulas to include derivatives of these and other trigonometric. Derivatives of all six trig functions are given and we show the. One condition upon these results.
Differentiation Formulas & Rules Basic,Trig Full list Teachoo
Derivatives of all six trig functions are given and we show the. Here is a list of the derivatives that you need to know: Finding the derivative of a trigonometric function means differentiating the trigonometric function with respect to a given. One condition upon these results. In this section we will discuss differentiating trig functions.
What are Basic Trig Identities or Trigonometric Identities?
One condition upon these results. Finding the derivative of a trigonometric function means differentiating the trigonometric function with respect to a given. It is possible to find the derivative of trigonometric functions. In this section we will discuss differentiating trig functions. In this section we expand our knowledge of derivative formulas to include derivatives of these and other trigonometric.
Derivatives of Arc Trig Functions with Formulas Trigonometric Identities
It is possible to find the derivative of trigonometric functions. In this section we will discuss differentiating trig functions. Finding the derivative of a trigonometric function means differentiating the trigonometric function with respect to a given. One condition upon these results. In this section we expand our knowledge of derivative formulas to include derivatives of these and other trigonometric.
Trigonometric functions and Differentiation Formulas
Derivatives of all six trig functions are given and we show the. One condition upon these results. Here is a list of the derivatives that you need to know: Finding the derivative of a trigonometric function means differentiating the trigonometric function with respect to a given. In this section we expand our knowledge of derivative formulas to include derivatives of.
Derivatives Of All Six Trig Functions Are Given And We Show The.
It is possible to find the derivative of trigonometric functions. In this section we expand our knowledge of derivative formulas to include derivatives of these and other trigonometric. Finding the derivative of a trigonometric function means differentiating the trigonometric function with respect to a given. In this section we will discuss differentiating trig functions.
One Condition Upon These Results.
Here is a list of the derivatives that you need to know:









