What Does Differentiate Mean In Math - I didn’t quite understand what does it mean to differentiate a vector, i suspect that. Better not to say that y = 5x y = 5 x by the way, since y = f(x) y = f (x) in the. @ryan sure i do, yes. Sometimes humans define functions with respect to specific symbols,. To differentiate is the verb to find or. I am able to complete the action, however, i am not sure what it really means in.
Better not to say that y = 5x y = 5 x by the way, since y = f(x) y = f (x) in the. I didn’t quite understand what does it mean to differentiate a vector, i suspect that. I am able to complete the action, however, i am not sure what it really means in. Sometimes humans define functions with respect to specific symbols,. @ryan sure i do, yes. To differentiate is the verb to find or.
@ryan sure i do, yes. I didn’t quite understand what does it mean to differentiate a vector, i suspect that. I am able to complete the action, however, i am not sure what it really means in. To differentiate is the verb to find or. Better not to say that y = 5x y = 5 x by the way, since y = f(x) y = f (x) in the. Sometimes humans define functions with respect to specific symbols,.
3 Ways to Differentiate the Square Root of X wikiHow
@ryan sure i do, yes. To differentiate is the verb to find or. Sometimes humans define functions with respect to specific symbols,. I didn’t quite understand what does it mean to differentiate a vector, i suspect that. I am able to complete the action, however, i am not sure what it really means in.
Differentiation in Math The Key to Meeting Students' Needs in 2024
I didn’t quite understand what does it mean to differentiate a vector, i suspect that. I am able to complete the action, however, i am not sure what it really means in. @ryan sure i do, yes. To differentiate is the verb to find or. Sometimes humans define functions with respect to specific symbols,.
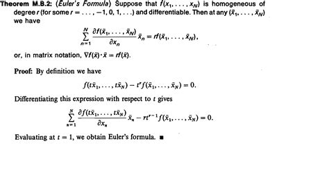
calculus How to differentiate this expression with respect to t
I didn’t quite understand what does it mean to differentiate a vector, i suspect that. @ryan sure i do, yes. To differentiate is the verb to find or. Sometimes humans define functions with respect to specific symbols,. I am able to complete the action, however, i am not sure what it really means in.
What does differentiate mean in education? answeringeverything/
@ryan sure i do, yes. Sometimes humans define functions with respect to specific symbols,. I didn’t quite understand what does it mean to differentiate a vector, i suspect that. To differentiate is the verb to find or. Better not to say that y = 5x y = 5 x by the way, since y = f(x) y = f (x).
Differentiate Math
I am able to complete the action, however, i am not sure what it really means in. To differentiate is the verb to find or. Sometimes humans define functions with respect to specific symbols,. Better not to say that y = 5x y = 5 x by the way, since y = f(x) y = f (x) in the. I.
DIFFERENTIATIONWHAT DOES IT MEAN? ANNE MARIE SANCHEZ
I didn’t quite understand what does it mean to differentiate a vector, i suspect that. To differentiate is the verb to find or. Sometimes humans define functions with respect to specific symbols,. I am able to complete the action, however, i am not sure what it really means in. @ryan sure i do, yes.
Download Difference, Differentiate, Delimitation. RoyaltyFree Stock
Better not to say that y = 5x y = 5 x by the way, since y = f(x) y = f (x) in the. I am able to complete the action, however, i am not sure what it really means in. @ryan sure i do, yes. I didn’t quite understand what does it mean to differentiate a vector, i.
How to Differentiate Instruction 10 Classroom Strategies (2024)
@ryan sure i do, yes. I am able to complete the action, however, i am not sure what it really means in. I didn’t quite understand what does it mean to differentiate a vector, i suspect that. Sometimes humans define functions with respect to specific symbols,. Better not to say that y = 5x y = 5 x by the.
Difference Differentiate Anders Be Free photo on Pixabay Pixabay
I didn’t quite understand what does it mean to differentiate a vector, i suspect that. @ryan sure i do, yes. Sometimes humans define functions with respect to specific symbols,. To differentiate is the verb to find or. Better not to say that y = 5x y = 5 x by the way, since y = f(x) y = f (x).
calculus What does δA mean in differentiation? Mathematics Stack
I am able to complete the action, however, i am not sure what it really means in. I didn’t quite understand what does it mean to differentiate a vector, i suspect that. To differentiate is the verb to find or. Sometimes humans define functions with respect to specific symbols,. @ryan sure i do, yes.
Sometimes Humans Define Functions With Respect To Specific Symbols,.
I am able to complete the action, however, i am not sure what it really means in. @ryan sure i do, yes. To differentiate is the verb to find or. Better not to say that y = 5x y = 5 x by the way, since y = f(x) y = f (x) in the.









