Differential Equations Final Exam Cheat Sheet - There is a table of laplace transforms, trigonometric identities and some useful integral formulas on. Differential equations cheat sheet by stoneoxmike via cheatography.com/138634/cs/29229/ exact.
Differential equations cheat sheet by stoneoxmike via cheatography.com/138634/cs/29229/ exact. There is a table of laplace transforms, trigonometric identities and some useful integral formulas on.
Differential equations cheat sheet by stoneoxmike via cheatography.com/138634/cs/29229/ exact. There is a table of laplace transforms, trigonometric identities and some useful integral formulas on.
Differential Equations Cheat Sheet
There is a table of laplace transforms, trigonometric identities and some useful integral formulas on. Differential equations cheat sheet by stoneoxmike via cheatography.com/138634/cs/29229/ exact.
Differential Equations Cheat Sheet Pdf laxensigns
Differential equations cheat sheet by stoneoxmike via cheatography.com/138634/cs/29229/ exact. There is a table of laplace transforms, trigonometric identities and some useful integral formulas on.
Differential Equations Final Exam Formula Sheet Suggestions 1. For
Differential equations cheat sheet by stoneoxmike via cheatography.com/138634/cs/29229/ exact. There is a table of laplace transforms, trigonometric identities and some useful integral formulas on.
Differential Equations Cheat Sheet
Differential equations cheat sheet by stoneoxmike via cheatography.com/138634/cs/29229/ exact. There is a table of laplace transforms, trigonometric identities and some useful integral formulas on.
SOLUTION Differential equation cheat sheet class 12 Studypool
There is a table of laplace transforms, trigonometric identities and some useful integral formulas on. Differential equations cheat sheet by stoneoxmike via cheatography.com/138634/cs/29229/ exact.
SOLUTION Differential equations exam with answers Studypool
There is a table of laplace transforms, trigonometric identities and some useful integral formulas on. Differential equations cheat sheet by stoneoxmike via cheatography.com/138634/cs/29229/ exact.
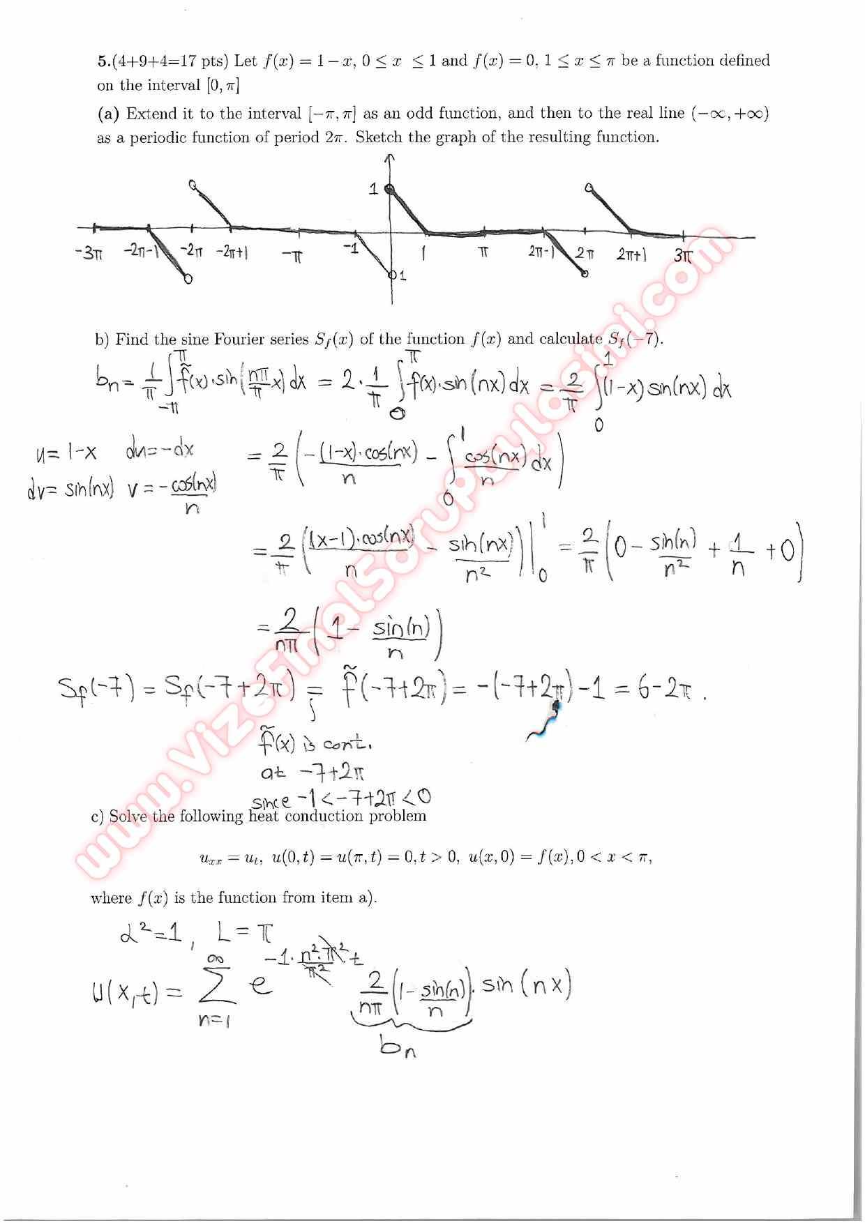
Differential Equations Final Questions And Solutions 2015 » Vize ve
Differential equations cheat sheet by stoneoxmike via cheatography.com/138634/cs/29229/ exact. There is a table of laplace transforms, trigonometric identities and some useful integral formulas on.
Differential Equations 2280 Sample Final Exam
Differential equations cheat sheet by stoneoxmike via cheatography.com/138634/cs/29229/ exact. There is a table of laplace transforms, trigonometric identities and some useful integral formulas on.
Differential Equations Final Questions And Solutions Spring 2014
There is a table of laplace transforms, trigonometric identities and some useful integral formulas on. Differential equations cheat sheet by stoneoxmike via cheatography.com/138634/cs/29229/ exact.
Differential Equations Cheat Sheet By Stoneoxmike Via Cheatography.com/138634/Cs/29229/ Exact.
There is a table of laplace transforms, trigonometric identities and some useful integral formulas on.








