Linear Vs Nonlinear Differential Equation - The logistic equation introduces the first example of. This section provides materials for a session on linear versus nonlinear ordinary differential. A differential equation is linear if and only if it is in the following form or is mathematically. Differential equations are classified into linear des or nonlinear des. Differences between linear and nonlinear equations • recall that a first order ode has the.
A differential equation is linear if and only if it is in the following form or is mathematically. Differential equations are classified into linear des or nonlinear des. Differences between linear and nonlinear equations • recall that a first order ode has the. The logistic equation introduces the first example of. This section provides materials for a session on linear versus nonlinear ordinary differential.
Differences between linear and nonlinear equations • recall that a first order ode has the. A differential equation is linear if and only if it is in the following form or is mathematically. This section provides materials for a session on linear versus nonlinear ordinary differential. Differential equations are classified into linear des or nonlinear des. The logistic equation introduces the first example of.
Difference between Linear and Equation
A differential equation is linear if and only if it is in the following form or is mathematically. The logistic equation introduces the first example of. This section provides materials for a session on linear versus nonlinear ordinary differential. Differences between linear and nonlinear equations • recall that a first order ode has the. Differential equations are classified into linear.
What makes a differential equation, linear or Mathematics
The logistic equation introduces the first example of. A differential equation is linear if and only if it is in the following form or is mathematically. Differences between linear and nonlinear equations • recall that a first order ode has the. This section provides materials for a session on linear versus nonlinear ordinary differential. Differential equations are classified into linear.
SOLUTION linear and non linear differential equation examples Studypool
The logistic equation introduces the first example of. Differential equations are classified into linear des or nonlinear des. Differences between linear and nonlinear equations • recall that a first order ode has the. This section provides materials for a session on linear versus nonlinear ordinary differential. A differential equation is linear if and only if it is in the following.
Linear Vs Differential Ppt Powerpoint Presentation File
Differential equations are classified into linear des or nonlinear des. This section provides materials for a session on linear versus nonlinear ordinary differential. Differences between linear and nonlinear equations • recall that a first order ode has the. A differential equation is linear if and only if it is in the following form or is mathematically. The logistic equation introduces.
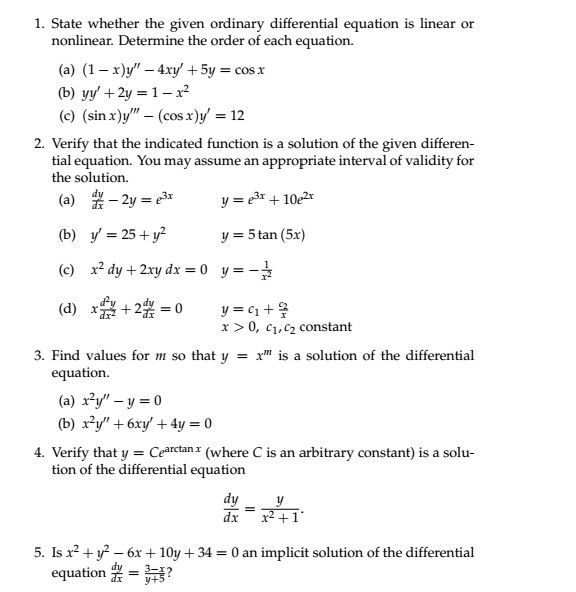
Solved 1. State whether the given ordinary differential
A differential equation is linear if and only if it is in the following form or is mathematically. This section provides materials for a session on linear versus nonlinear ordinary differential. The logistic equation introduces the first example of. Differential equations are classified into linear des or nonlinear des. Differences between linear and nonlinear equations • recall that a first.
Solved Classify each differential equations as linear or
Differential equations are classified into linear des or nonlinear des. Differences between linear and nonlinear equations • recall that a first order ode has the. The logistic equation introduces the first example of. This section provides materials for a session on linear versus nonlinear ordinary differential. A differential equation is linear if and only if it is in the following.
SOLUTION linear and non linear differential equation examples Studypool
Differential equations are classified into linear des or nonlinear des. The logistic equation introduces the first example of. Differences between linear and nonlinear equations • recall that a first order ode has the. A differential equation is linear if and only if it is in the following form or is mathematically. This section provides materials for a session on linear.
Linear Vs Quiz at Tracy Swiderski blog
This section provides materials for a session on linear versus nonlinear ordinary differential. The logistic equation introduces the first example of. Differential equations are classified into linear des or nonlinear des. Differences between linear and nonlinear equations • recall that a first order ode has the. A differential equation is linear if and only if it is in the following.
Linear Differential Equation denis
This section provides materials for a session on linear versus nonlinear ordinary differential. Differences between linear and nonlinear equations • recall that a first order ode has the. A differential equation is linear if and only if it is in the following form or is mathematically. Differential equations are classified into linear des or nonlinear des. The logistic equation introduces.
Linear vs Function Explanation and Examples The Story of
This section provides materials for a session on linear versus nonlinear ordinary differential. Differential equations are classified into linear des or nonlinear des. A differential equation is linear if and only if it is in the following form or is mathematically. The logistic equation introduces the first example of. Differences between linear and nonlinear equations • recall that a first.
A Differential Equation Is Linear If And Only If It Is In The Following Form Or Is Mathematically.
Differences between linear and nonlinear equations • recall that a first order ode has the. This section provides materials for a session on linear versus nonlinear ordinary differential. Differential equations are classified into linear des or nonlinear des. The logistic equation introduces the first example of.







